中疾控最新研究揭示:国内9000万抑郁症患者,一年10多万自杀

   日期:2025-09-15     作者:m472b       评论:0    移动:http://ww.yusign.com/mobile/news/2491.html
核心提示:抑郁症是一种全球性的公共卫生问题,影响着数以亿计的人口。根据中国精神卫生调查数据,我国成人抑郁障碍的终生患病率为6.8%,其

抑郁症是一种全球性的公共卫生问题,影响着数以亿计的人口。根据中国精神卫生调查数据,我国成人抑郁障碍的终生患病率为6.8%,其中抑郁症为3.4%。目前,中国有约9500万抑郁症患者,每年大约有28万人自杀,其中40%患有抑郁症。近日,中国疾病预防控制中心(中疾控)发表了一项研究,探讨了抑郁症与全因死亡率及特定原因死亡率之间的关系。

图片

抑郁症是一种复杂的异质性疾病,其病理机制尚不完全清楚。根据严重程度,抑郁症可以分为轻度、中度和重度。重度抑郁症是一种临床综合征,表现为持续两周或更长时间的情绪低落或对活动失去兴趣,并伴有其他症状如睡眠障碍、饮食习惯改变、疲劳、自杀想法和注意力难以集中等。

本研究利用了中国慢性病和危险因素监测 (CCDRFS) 的数据,这是一项长期的全国性调查,由国家慢性非传染性疾病预防控制中心监督。CCDRFS 2010 调查在中国 162 个疾病监测点 (DSP) 进行,调查对象为 100,000 多名 18 岁及以上的参与者。

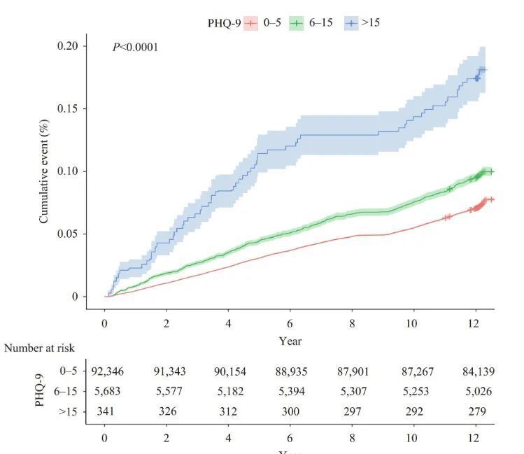
抑郁症的评估采用患者健康问卷-9(PHQ-9),包括9个问题,回答过去两周内出现的抑郁症状,得分从0(完全没有)到3(几乎每天)。抑郁症严重程度分为三个等级:无(PHQ-9≤5)、轻度至中度(5<PHQ-9≤15)和重度(PHQ-9>15)。

经过平均 11.6 年的随访,研究人员记录了参与者的死亡日期和根据 ICD-10 系统分类的原因。死亡原因分为心血管疾病、癌症、自杀、非自杀伤害和其他原因等类别。

关键发现如下:

死亡率增加:

研究发现,在中国人口中,抑郁症与全因死亡率和特定原因死亡率之间存在显著的正相关关系。具体来说,患有重度抑郁症的人群中,男性、城市居民、年轻人(60岁以下)和受教育程度较高的人的死亡风险更高。

图片

性别差异:

尽管女性抑郁症的患病率更高,但男性的死亡率却是女性的三倍。这表明男性在面对抑郁症时可能面临更大的风险。

年龄和教育水平的影响:

年轻人(60岁以下)和受教育程度较高的人受到抑郁症的影响更为显著。尽管这些群体通常被认为是相对优势的亚群体,但他们在抑郁症面前似乎更加脆弱。

死亡原因:

抑郁症患者因受伤和心血管疾病而死亡的风险较高。这可能与抑郁症相关的不良生活习惯(如吸烟和缺乏体育锻炼)以及代谢功能的变化有关。

研究结果强调,有必要加强对所有抑郁症患者的身心支持,特别是那些属于高危亚群的人。这包括男性、城市居民、年轻人和受教育程度较高的人。

除了药物治疗外,还应结合心理干预、生活方式调整和社会支持等多种手段,以提高患者的生存质量和降低死亡风险。

未来的研究需要进一步探讨抑郁症的具体机制,以及不同亚群体对抑郁症的不同反应。此外,还需要更多长期随访研究来验证这些发现的稳定性和普遍性。

随着全球抑郁症患病率的不断上升,寻找有效的预防和治疗方法变得尤为重要。这项研究不仅为临床医生提供了重要的指导,也为公众提供了新的视角,即通过关注心理健康,可以及早发现并干预抑郁症的风险。希望更多的患者能够认识到这一点,并采取相应的措施来改善自身的健康状况。

Wang, Jifei, et al. "The Association Between Depression and All-Cause, Cause-Specific Mortality in the Chinese Population—China, 2010–2022." China CDC Weekly 6.40 (2024): 1022-1027.

 
特别提示:本信息由相关用户自行提供,真实性未证实,仅供参考。请谨慎采用,风险自负。

举报收藏 0打赏 0评论 0
 
更多>同类最新资讯
0相关评论

相关文章
最新文章
推荐文章
推荐图文
最新资讯
点击排行
{
网站首页  |  关于我们  |  联系方式  |  使用协议  |  隐私政策  |  版权隐私  |  网站地图  |  排名推广  |  广告服务  |  积分换礼  |  网站留言  |  RSS订阅  |  违规举报  |  鄂ICP备2020018471号